Análise de Dados e Visualização

Alunos: Arthur Nichele, José Henrique, Tiago e Vitor Hugo

1. Gráficos Fundamentais

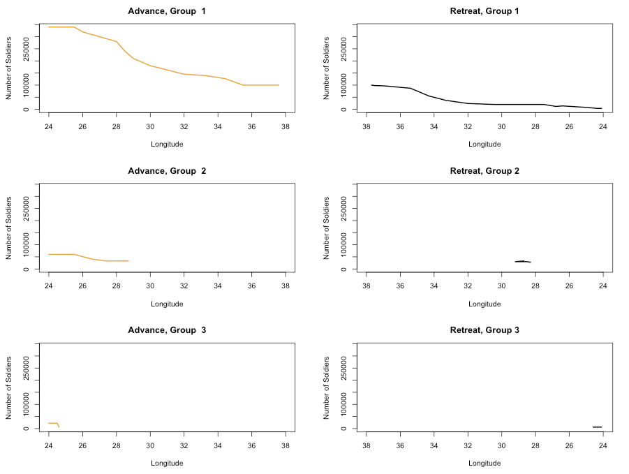
2. Mapa de Charles Minard 1869: